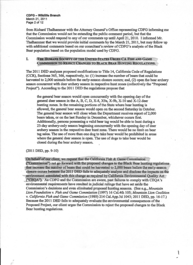
These are pages from letter from HSUS's hired gun law firm Kenyon/Yeates to Fish and Game commenting on the bear take increase proposal. I understand arguing over methods to estimate populations and the techicalities of CEQA, the California Environmental Quality Act, but to surreptiously accuse all California bear hunters of being poachers, to put it lightly, hurts my feelings. Then to call for "prohibiting the use of dogs" scares me badly. The HSUS has just formed the California Anti-Poaching Action Network. Just to refresh your memories in 2009 the HSUS donated money to Cal-TIP, which is a non-profit organization. The money then went to Fish and Game's K9 program.
I am not a big conspiracy theorist, but I do believe in the old adage: "Just because you are paranoid doesn't mean they are not out to get you." And just remember one thing: someone from the HSUS has read this post before you.
"Audentes fortuna juvat" - "Fortune favors the bold"
-Pete
Just when you thought it couldn't get any worse.
- Peter Meyer
- Bawl Mouth

- Posts: 257
- Joined: Fri Dec 28, 2007 8:53 am
Just when you thought it couldn't get any worse.
Bar K Black and Tans Placerville CA
"We must indeed all hang together, or, most assuredly, we shall all hang separately" -Benjamin Franklin replying to John Hancock's remark that the revolutionaries should be unanimous in their action. July 4, 1776 at the signing of the Declaration of Independence
"We must indeed all hang together, or, most assuredly, we shall all hang separately" -Benjamin Franklin replying to John Hancock's remark that the revolutionaries should be unanimous in their action. July 4, 1776 at the signing of the Declaration of Independence
-
livetohunt
- Open Mouth

- Posts: 950
- Joined: Sun Dec 14, 2008 3:50 am
- Location: Ca.
- Location: Chester Ca.
Re: Just when you thought it couldn't get any worse.
The HSUS wants to do as they have done before bully the DFG into getting their way. It has worked so good for them in the past and they will keep doing just that. But they will get to a point very soon where they will feel they are ready to hit us and hit us hard. We need to get on the ball right now guys, we need to get all sportsmen and women on board and be proactive instead of reactive in the fight. We have a shot at catching them off guard with this. We need to use the all the tools we can in this fight as well as all the other sportsmen and women. This is not about bear hunting, its not about running our hounds, they want to steal our rights as sportsmen. We need to unite the houndsmen of this state and then as one strong force build on it to encompass all other sportsmen and women. This is not the time to fight, bitch and bicker about who is right or who is wrong. Its not about you being a member of the CHC or your love or hate of the CHC. Lets rally the troops, lets show the HSUS we will not go quietly into the night. If its a fight they want lets give them a fight.
Re: Just when you thought it couldn't get any worse.
Ok Who is our lawyer?
If we donate money to who?
Who are our organizers?
Dont tell me call you repersentive that dosnt work
The humane society is the largest killer of pets in the nation.
Is it more humane to harvest an animal in its prime or to let it slowly starve to death in old age?
Is it more humane to kill an animal or let it waste away of some disease caused by over population?
One of the problems is some of these people really believe the lies others write and dont realize the damage and suffering they cause amoung the animal population.
If they truley cared for the animals and were against needless suffering and humane existance of animals they would be pro-population control
They advocate animal population control amoung domestic pets to prevent starvation and disease but at the same time promote that same suffering in the wild population
Can they be educated or are they so ingrained in their ignorance that they dont want to face the truth
There are non hunters out there that if they knew the truth would be on our side.
If we donate money to who?
Who are our organizers?
Dont tell me call you repersentive that dosnt work
The humane society is the largest killer of pets in the nation.
Is it more humane to harvest an animal in its prime or to let it slowly starve to death in old age?
Is it more humane to kill an animal or let it waste away of some disease caused by over population?
One of the problems is some of these people really believe the lies others write and dont realize the damage and suffering they cause amoung the animal population.
If they truley cared for the animals and were against needless suffering and humane existance of animals they would be pro-population control
They advocate animal population control amoung domestic pets to prevent starvation and disease but at the same time promote that same suffering in the wild population
Can they be educated or are they so ingrained in their ignorance that they dont want to face the truth
There are non hunters out there that if they knew the truth would be on our side.
Re: Just when you thought it couldn't get any worse.
40,000 in Wisconsin were unhappy with there repersentives so they raised 500,000 dollars. bought commercials and recalled those repersentives.ernieg wrote:Ok Who is our lawyer?
If we donate money to who?
Who are our organizers?
Dont tell me call you repersentive that dosnt work
The humane society is the largest killer of pets in the nation.
Is it more humane to harvest an animal in its prime or to let it slowly starve to death in old age?
Is it more humane to kill an animal or let it waste away of some disease caused by over population?
One of the problems is some of these people really believe the lies others write and dont realize the damage and suffering they cause amoung the animal population.
If they truley cared for the animals and were against needless suffering and humane existance of animals they would be pro-population control
They advocate animal population control amoung domestic pets to prevent starvation and disease but at the same time promote that same suffering in the wild population
Can they be educated or are they so ingrained in their ignorance that they dont want to face the truth
There are non hunters out there that if they knew the truth would be on our side.
My point is that education thru mass media does work .
Who do we have that can organize this ? I will donate the first 200 dollars to this if someone with the media knowlege and organization skills will take charge. Thank You
